Skip to main content
Warum O2
Warenkorb
Service
Frage

Kündigung Bestatigung

  • November 10, 2023
  • 9 Antworten
  • 94 Aufrufe

Hallo, ich habe am 26.09.23 meinen Vertrag gekündigt, jedoch noch keine Kündigungsbestätigung erhalten. Jedes Mal, wenn ich mich in der O2-App anmelde, scheint „Noche 16 Tage“ abzubrechen.

Ich benötige eine E-Mail-Bestätigung, Danke!! 

 

9 Antworten

bs0
Legende
Forum|alt.badge.img+43
  • Legende
  • November 10, 2023

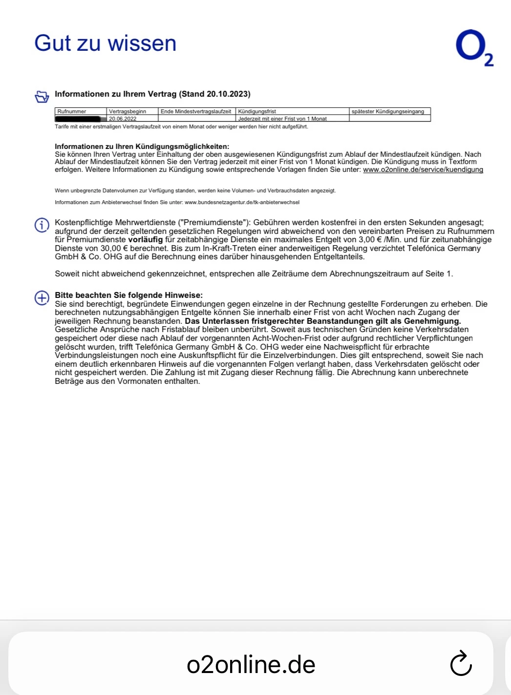
In den Rechnungen siehst du (unter “Gut zu wissen”) wann der Vertrag endet. Das ist die Bestätigung.

Ist der Vertrag schon deaktiviert? Laut dem Screenshot sollte er am 26. Oktober beendet worden sein.


jsc
Legende
Forum|alt.badge.img+30
  • Legende
  • November 10, 2023

Die Bestätigung kam per Email, wahrscheinlich im Spam Ordner verschwunden…

26.10.23? Dann ist dein Vertrag schon gekündigt…


  • Autor
  • Besucher:in
  • November 10, 2023

Hallo, ich kann keine E-Mail finden. Wäre es möglich, sie noch einmal zu senden? Ich danke Ihnen für Ihre Hilfe!

 


o2_Sven
  • Moderator
  • November 10, 2023

Hallo @duda23 ,

herzlich willkommen bei uns in der o2 Community 💙.

Wie hattest du die Kündigung denn abgegeben? Ist die SIM-Karte die zu diesem Vertrag gehört denn deaktiviert? Das Kündigungsdatum zum 26.10. ist hier schon kurios.

 

Schöne Grüße, Sven


  • Autor
  • Besucher:in
  • November 10, 2023

Hallo, ich habe den Vertrag über das Online-Formular gekündigt. Ich glaube nicht, dass meine SIM-Karte deaktiviert ist... Ich bin im Urlaub in einem anderen Land und nutze sie daher nicht.

Ich habe dies erhalten, sobald ich das Formular ausgefüllt habe.

 


jsc
Legende
Forum|alt.badge.img+30
  • Legende
  • November 10, 2023

Wurde nur das Data Pack gekündigt, aber nicht der Tarif?


  • Autor
  • Besucher:in
  • November 10, 2023

Ich habe das Formular mit der Absicht ausgefüllt, den unbegrenzten Internettarif zu kündigen. Ich möchte keine Pläne mehr, da ich sie nicht mehr nutze. 


  • Autor
  • Besucher:in
  • November 10, 2023

Ich habe das Formular ausgefüllt und keine Bestätigung per E-Mail erhalten, also bin ich in ein Geschäft gegangen und der Mitarbeiter hat die Stornierung bestätigt, aber ich habe immer noch nichts erhalten. Ich befürchte, dass es immer noch aktiv ist und einen Betrag berechnet, den ich nicht verwende. Schließlich bin ich ohne SIM-Karte.


o2_Jennifer
  • Team
  • November 27, 2023

Hallo und Willkommen in unserer Community @duda23 ,

wie ich sehe, konntest du dich bereits toll austauschen und hast einige Informationen bereits zur Verfügung gestellt. 😍

Ich habe mir deinen Fall angeschaut und die Deaktivierung deines Vertrags ist systembedingt nicht durchgelaufen. Hier habe ich mich jetzt drum gekümmert. Für die aktuelle Rechnung, habe ich eine Guthabenbuchung veranlasst, da diese nach deiner ursprünglichen Kündigung berechnet wurde. 

Du bekommst eine separate Information von uns zur Buchung.

Danke an alle Beteiligten für eure Unterstützung. 

Viele Grüße

Jenni