Skip to main content
Warum O2
Warenkorb
Service
Gelöst

Mehrwertdienste

  • July 10, 2025
  • 5 Antworten
  • 41 Aufrufe

Hallo, seitdem ich meinen Vertrag „optimiert“ habe, zahle ich monatlich 13,99€ für Mehrwertdienste. Auf der Rechnung werden diese auch nur so angegeben, aber nirgends näher beschrieben. Nachdem ich nun Beiträge aus der Community gelesen habe, weiß ich, dass unter diesen Diensten Klingeltöne, E-Book und Musik Downloads sowie Spiele Apps zählen. Doch davon nutze ich keinerlei Sachen und habe auch nichts abonniert. Ich bitte um Überprüfung und möchte die getätigten Zahlungen umgehend reklamiert bekommen!

Lösung von o2_Manga

@melaniiee 

deinem Wunsch bin ich gern nachgekommen und habe dir das Abo storniert. Die Beiträge habe ich dir zurückerstattet. 

Bitte setze zusätzlich noch die Drittanbietersperre, wie poales vorgeschlagen hat. 

Grüße und Danke an alle. 🙂

Manga

 

5 Antworten

o2_Manga
  • July 10, 2025

Hallo ​@melaniiee 

willkommen in der Community. Schön, dass du uns schreibst. 😊

Das Abo ist Netflix Standard. Das können wir gern stornieren. Wenn du das wirklich möchtest, gib uns hier gern Bescheid.

Grüße

Manga


Bumer
Legende
  • July 11, 2025

@melaniiee 

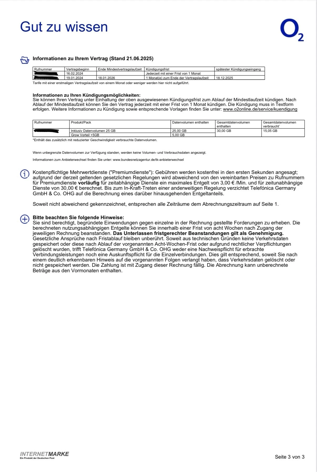
das Netflix Abo siehst du in deiner Rechnung, letzte Seite unter Gut zu wissen.

 


poales
Legende
  • Legende
  • July 11, 2025

@melaniiee 

du kannst für die Zukunft eine Drittanbietersperre setzen,

diese beendet aber keine Abos.

 


  • Autor
  • Besucher:in
  • July 11, 2025

Hallo Alle, 

vielen Dank für die schnelle Rückmeldung und Hilfe! 

@o2_Manga leider wird das auf meiner Rechnung nicht angegeben. Wie kann das sein?
Bitte stornieren Sie es für mich.

 

 


o2_Manga
  • Lösung
  • July 11, 2025

@melaniiee 

deinem Wunsch bin ich gern nachgekommen und habe dir das Abo storniert. Die Beiträge habe ich dir zurückerstattet. 

Bitte setze zusätzlich noch die Drittanbietersperre, wie poales vorgeschlagen hat. 

Grüße und Danke an alle. 🙂

Manga