Skip to main content
Warum O2
Warenkorb
Service
Frage

Beschwerde über unautorisierte Abbuchungen durch Drittanbieter

  • October 16, 2025
  • 55 Antworten
  • 6286 Aufrufe

Forum|alt.badge.img

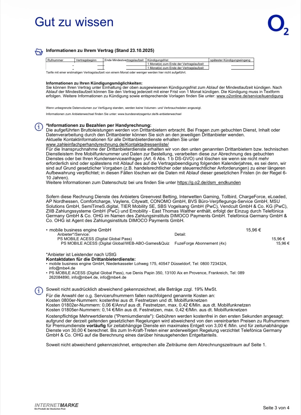
ich habe festgestellt, dass von meinem Konto Abbuchungen durch einen Drittanbieter namens „PS MOBILE ACCESS (Digital Global / WEB-ABO – Games & Quiz)” erfolgen, ohne dass ich dem zugestimmt oder eine entsprechende Bestellung aufgegeben habe.

 

Ich bitte Sie, diese Abbuchungen umgehend zu überprüfen und alle zukünftigen Zahlungen an Drittanbieter zu sperren.

Außerdem fordere ich, dass alle Drittanbieterdienste für meine O2-Nummer vollständig deaktiviert werden und mir die unberechtigt abgebuchten Beträge erstattet werden.

55 Antworten

The_Voice_70
Legende
Forum|alt.badge.img+29
  • Legende
  • October 16, 2025

Das einmal abarbeiten: 

 


Forum|alt.badge.img
  • Autor
  • Einsteiger:in
  • October 16, 2025

Ich bin bereit, Ihnen alle meine Kundendaten zu geben.

Bitte entfernen Sie den Drittanbieterdienst „PS MOBILE ACCESS (Digital Global / WEB-ABO – Games & Quiz)”, weil mir jeden Monat etwa 20 Euro ohne meine Zustimmung abgebucht werden.

Ich bitte Sie dringend, diesen Dienst sofort zu deaktivieren und zukünftige Abbuchungen zu stoppen.


poales
Legende
  • Legende
  • October 16, 2025

@phatonny 

die Abos musst du kündigen

die Drittanbietersperre kannst du auch selbst für die Zukunft setzen,

schau in den Beitrag von ​@The_Voice_70 


Forum|alt.badge.img
  • Autor
  • Einsteiger:in
  • October 16, 2025

Ich verstehe Sie, aber ich weiß nicht, wie ich es machen soll, deswegen bitte ich Sie um Hilfe.


The_Voice_70
Legende
Forum|alt.badge.img+29
  • Legende
  • October 16, 2025

Sieht aus wie ein Play Station Mobile Abo aus. Da mal schauen. 


Bumer
Legende
  • October 16, 2025

Steht alles im FAQ.


Forum|alt.badge.img
  • Autor
  • Einsteiger:in
  • October 16, 2025

@The_Voice_70 

 

Ich habe überhaupt keine PlayStation gehabt.

 


The_Voice_70
Legende
Forum|alt.badge.img+29
  • Legende
  • October 16, 2025

Ich hatte gesagt das es nach einem Play Station Abs aussieht 😉

 

 


Forum|alt.badge.img+12

@phatonny 

Hallo,

Du mußt das Abo kündigen und darauf hinweisen, daß du es nicht abgeschlossen hast und Sie dir das Geld zurückzahlen sollen.

Die Adresse findest du in der Rechnung von O2.

 

Danach die Drittanbietersperre setzen:

Drittanbietersperre setzendamit es nicht wieder passiert. (gilt nur für neue Abos
Auch hier muß die jeweilige Nummer registriert und du mußt dich mit der Nummer einloggen, für die die Drittanbietersperre gelten soll. (Fehler im O2 System!)


entweder hier


https://www.o2online.de/ecareng/?contentId=simkarten%252Fthirdpartyservices


oder in der App

https://www.o2online.de/2/drittanbieter

 

 

Weitere Informationen erhältst du hier:

https://hilfe.o2online.de/o2-mobilfunk-rechnung-23/abofalle-ohne-ende-639486?tid=639486&fid=23

 

 

 

 


Forum|alt.badge.img
  • Autor
  • Einsteiger:in
  • October 17, 2025

Alles ist gesperrt.

Ein Abo innerhalb von O2 habe ich nicht – wie man auf dem Foto sieht, scheint das Abo von einem externen Anbieter zu sein, oder?

Bis hierhin habe ich so gehandelt, wie Sie es gesagt haben.

Ab jetzt weiß ich nicht, wie ich weiter vorgehen soll – soll ich dort anrufen oder eine E-Mail schreiben an PS MOBILE ACCESS (Digital Global Pass), damit sie das stoppen und kein Geld mehr von meinem Konto abgebucht wird?
 

 


The_Voice_70
Legende
Forum|alt.badge.img+29
  • Legende
  • October 17, 2025

https://www.mbe4.de/endkundenportal/

Da musst du kündigen. 


Forum|alt.badge.img
  • Autor
  • Einsteiger:in
  • October 17, 2025

Es wird mir nur das angezeigt, ich weiß nicht, wie ich das machen soll.

 


The_Voice_70
Legende
Forum|alt.badge.img+29
  • Legende
  • October 17, 2025

https://www.mbe4.de/kontakt/

Dann rufst du auf der Nummer mal an und fragst nach. Weil das das Unternehmen ist was auf deiner Handyrechnung  unten steht 


Forum|alt.badge.img
  • Autor
  • Einsteiger:in
  • October 17, 2025

Mal schauen, vielen Dank dafür. 🤗


o2_Paul
  • Moderator
  • October 18, 2025

Hey ​@phatonny,

dir wurde ja schon sehr gut geholfen und einige Tipps eingeworfen. Danke an die tatkräftige Unterstützung hier. 🫶

Gib doch gerne Bescheid, ob was dabei herausgekommen ist und du das Abo gestoppt bekommen hast. Wie The_Voice_70 schon sagt, ist hier ein externes Unternehmen gefragt, an das per Handyrechnung ein Abo bezahlt wird. Daher ist der Weg, dort nachzufragen, erstmal der richtige. 

Beste Grüße,
Paul


Forum|alt.badge.img
  • Autor
  • Einsteiger:in
  • October 20, 2025

@The_Voice_70 

Ich habe mit ihnen gesprochen, und sie haben gesagt, dass auf Rufnummer kein Abo vorhanden ist.

Wie kann das sein?

Ich bin mir sicher, dass trotzdem wieder Geld von meinem Konto abgebucht wird, obwohl sie sagen, dass kein Abo existiert.

Ich weiß nicht, wie ich weiter vorgehen soll – das ist wirklich nicht in Ordnung.


The_Voice_70
Legende
Forum|alt.badge.img+29
  • Legende
  • October 20, 2025

@phatonny 

Na irgendwer muss ja da mal was gekauft haben / ein Abo abgeschlossen haben. Sonst würde es ja nicht auf der Rechnung auftauchen. 


Forum|alt.badge.img
  • Autor
  • Einsteiger:in
  • October 20, 2025

Nein, ich bin mir zu 100 % sicher, weil ich erst seit drei Monaten bei O2 bin und ganz sicher weiß, dass ich nichts bestellt habe.


o2_Dennis
  • Moderator
  • October 25, 2025

Hallo ​@phatonny,

du hast mehrere Rufnummern bei uns und bei der Abfrage auch die genannt, wo die Berechnung aufgeführt wird? Denn es ist ja offensichtlich, dass von dort aus Kosten entstehen, weshalb es mich ebenfalls verwundert, dass man dort nichts finden kann. 

VG
Dennis


The_Voice_70
Legende
Forum|alt.badge.img+29
  • Legende
  • October 25, 2025

Oder mal ganz hässlich gedacht: 

Der Anbieter will nichts finden … 😉

 


Forum|alt.badge.img
  • Autor
  • Einsteiger:in
  • October 25, 2025

@o2_Dennis 

Ich habe zwei Rufnummern – meine und die meiner Frau – an einem Vertrag, und als ich die Firma (PS MOBILE ACCESS / Digital Global Pass) gefragt habe, habe ich wegen beider Rufnummern nachgefragt. Sie haben mir gesagt, dass bei keiner der beiden Nummern ein Abo vorhanden ist.


Forum|alt.badge.img
  • Autor
  • Einsteiger:in
  • October 25, 2025

@The_Voice_70 

Aber alles ist möglich, hmm 😏


Forum|alt.badge.img+7
  • Mentor:in
  • October 26, 2025

@phatonny 

Wenn du nicht weiter kommst, mußt du deine Kosten 

per Kontaktformular bei O2 geltend machen.

Schau mal hier und wende dich notfalls dort hin :

 

https://www.vzhh.de/themen/telefon-internet/abofallen-drittanbieter/drittanbieter-abos-auf-der-telefonrechnung

Gruß


Forum|alt.badge.img
  • Autor
  • Einsteiger:in
  • October 29, 2025

Für Oktober wieder das Gleiche.
 

Edit o2_Bianca 29.10.25 11:21Uhr: persönliche Daten aus Screenshot entfernt


poales
Legende
  • Legende
  • October 29, 2025

hier sind deine Rufnummern weltweit öffentlich.